凯利公式计算器

最佳投资比重
凯利模拟器
胜利: 回 失败: 回 胜率: %

使用方法

凯利公式计算器是一个寻找最佳投资比率的工具,这样当您知道投资资产的胜率和利润时,您将在重复投资时最大化利润。

  • 胜利概率 : 输入获得投资回报的概率。
  • 胜利时收益率 : 输入预期回报率。例如,如果您投资100并获得10,则回报率为10%。
  • 失败时损失率 : 输入预期损失率。例如,如果您投资100并损失10,则损失率为10%。

最佳投资比重是指资本的理想投资比例。 例如,如果是 50%,理想情况下您应该每次投入 50% 的资金。 另一方面,100%或更多意味着杠杆投资。

凯利公式是

凯利公式是反复投资金额时,为了获得最高收益率的理论公式。 按照凯利公式决定投资规模,理论上可以取得最大的成果。

危险性

凯利公式明确要求在投资对象上获得收益的概率及其大小。 但是,在现实的投资中,不可能完全预测这一点。使用凯利公式的话,即使概率稍微变化,最佳投资资产规模也会发生很大的变化。因此,不能只依靠凯利公式来决定投资。

凯利公式的意义

凯利公式很有用,因为它表明您投资的资产的波动性越大,该资产的波动性就应该越大。 例如,即使您的盈亏比率相同,在 [胜利:+20%,失败:-10%] 种情况下,投资金额也应比 [胜利:+10%,失败:-5%] 种情况减少一半。

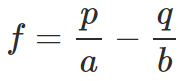
凯利公式

凯利公式
  • f : 最佳投资比重
  • p : 胜利概率
  • q : 失败概率 (q = 1-p)
  • a : 失败时损失率
  • b : 胜利时收益率